GESP 客观题评测系统
2025-12-Level-7
2025-12-Level-7
试卷解析总览,可直接查看每题答案与解析。
第 1 题(单选题)
下面关于C++中形参、实参和定义域的说法中,正确的一项是()。
正确答案A
解析详情
【答案】A
【考点】函数形参与实参;常量引用;作用域
【解析】 形参是在函数定义处声明的变量,默认只在该函数体内有效,所以 A 正确。 B 错在常量引用不能通过该引用修改对象;C 错在实参和形参不必完全同型,存在隐式类型转换时仍可调用;D 错在把指针形参重新赋值只会改变形参本身,不会改掉实参保存的地址。
【易错点】 容易把“修改指针指向的内容”和“修改指针变量本身”混为一谈。
第 2 题(单选题)
已知三个序列:s1 = {3, 1, 8, 2, 5, 6, 7, 4},s2 = {1, 5, 1, 8, 6, 4, 7, 5, 6},s3 = {1, 8, 3, 5, 7, 6, 2, 4}。以下哪个序列是它们的最长公共子序列()。
正确答案A
解析详情
【答案】A
【考点】最长公共子序列;序列匹配;相对顺序
【解析】 公共子序列要求三个序列中都按相同先后顺序出现。A 中的 1,8,5,6 在 s1、s2、s3 中都能找到,长度为 4。 B 虽然在 s2、s3 中可行,但在 s1 中 7 出现在 6 之后,不能形成 1,5,6,7;D 在 s2 中 4 出现在 7 之前,也不满足顺序。既然 A 已经达到长度 4,而其余可行候选没有更长,所以答案是 A。
【易错点】 容易只看元素是否都出现,而漏掉“相对顺序必须一致”这个条件。
第 3 题(单选题)
现有一个地址区间为0~10的哈希表,当出现冲突情况,会往后找第一个空的地址存储(到10冲突了就从0开始往后),现在要依次存储(1,3,5,7,9),哈希函数为。其中9存储在哈希表哪个地址中()。
正确答案D
解析详情
【答案】D
【考点】哈希函数;开放寻址;线性探测
【解析】 先算哈希地址:h(1)=2,h(3)=1,h(5)=8。h(7)=1,与 3 冲突,再探测 2 也被 1 占用,所以 7 放到 3。 接着 h(9)=(81+9) mod 11=2,2 已占、3 已占,再往后探测到 4 为空,因此 9 最终存入地址 4。
【易错点】 容易算出初始哈希值后就停下,忘了按题意继续顺序探测空位。
第 4 题(单选题)
在0/1背包问题中,给定一组物品,每个物品有一个重量和价值,背包的容量有限。假设背包的最大容量为W,物品的数量为n,其中第i个物品的重量为w[i],价值为v[i]。以下关于0/1背包问题的描述,正确的是()。
正确答案C
解析详情
【答案】C
【考点】0/1背包;动态规划;滚动数组优化
【解析】 0/1 背包的经典状态转移是 dp[i][j],时间复杂度为 O(nW),空间复杂度为 O(nW)。因为第 i 行只依赖第 i-1 行,可以把二维数组压成一维滚动数组,把空间降到 O(W),所以 C 正确。 A 错在 0/1 背包不能靠贪心保证最优;B 错在 O(nW) 是伪多项式时间,不能据此说 0/1 背包是通常意义上的多项式时间可解;D 错在子问题明显可以复用,这正是动态规划成立的原因。
【易错点】 容易把“状态数按 W 计”误当成“对输入长度的多项式时间”。
第 5 题(单选题)
一棵深度为 6(根节点深度为 1)的完全二叉树,节点总数最少有()。
正确答案B
解析详情
【答案】B
【考点】完全二叉树;结点数量;树的层数
【解析】 深度为 6 且是完全二叉树时,前 5 层必须全部填满,第 6 层至少有 1 个结点。 前 5 层共有 1+2+4+8+16=31 个结点,再加上第 6 层最少 1 个,总数最少为 32,所以选 B。
【易错点】 容易把“完全二叉树”误算成“满二叉树”,直接写成 63。
第 6 题(单选题)
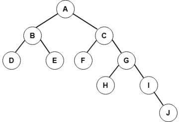
对于如下二叉树,下面关于访问的顺序说法错误的是()。

正确答案D
解析详情
【答案】D
【考点】二叉树遍历;先序中序后序;层序遍历
【解析】 由图可得这棵树的结构为 A 的左子树是 B(D,E),右子树是 C(F,G(H,I(J)))。 按此结构计算:后序遍历为 D E B F H J I G C A,先序遍历为 A B D E C F G H I J,层序遍历为 A B C D E F G H I J,前三项都对。中序遍历应为 D B E A F C H G I J,而不是 D B E A F C H G J I,所以错误项是 D。
【易错点】 容易把结点 I 和 J 的父子关系看反,导致中序末尾顺序写错。
第 7 题(单选题)
下面程序的运行结果为()。
#include <iostream>
int query(int n, int *a, int x) {
int l = 0, r = n;
while (l < r) {
int mid = l + (r - l) / 2;
if (a[mid] >= x) r = mid;
else l = mid + 1;
}
if (l == n) return -1;
return l;
}
int main() {
int n = 10;
int x = 3;
int num[] = {1, 2, 2, 3, 3, 4, 5, 5, 6, 7};
std::cout << query(n, num, x) << "\n";
return 0;
}正确答案B
解析详情
【答案】B
【考点】二分查找;lower_bound;数组下标
【解析】 这个 query 函数寻找的是数组中第一个大于等于 x 的位置。初始 l=0,r=10,mid=5 时 a[5]=4>=3,所以 r=5;mid=2 时 a[2]=2<3,所以 l=3;mid=4 时 a[4]=3>=3,所以 r=4;mid=3 时 a[3]=3>=3,所以 r=3。 循环结束时 l=r=3,函数返回 3,因此输出为 3,对应 B。
【易错点】 容易把结果当成“第几个 3”,却忘了函数返回的是从 0 开始的下标。
第 8 题(单选题)
下面程序中,函数 query 的时间复杂度是()。
#include <iostream>
int query(int n, int *a, int x) {
int l = 0, r = n;
while (l < r) {
int mid = l + (r - l) / 2;
if (a[mid] >= x) r = mid;
else l = mid + 1;
}
if (l == n) return -1;
return l;
}
int main() {
int n = 10;
int x = 3;
int num[] = {1, 2, 2, 3, 3, 4, 5, 5, 6, 7};
std::cout << query(n, num, x) << "\n";
return 0;
}正确答案B
解析详情
【答案】B
【考点】时间复杂度;二分查找;对数级算法
【解析】 while 循环每执行一次,搜索区间 [l,r) 都会缩小到原来的一半左右。区间长度从 n 逐步减到 0,需要的迭代次数约为 log n。 循环体内部只有常数次比较和赋值,因此总时间复杂度是 O(log n),选 B。
【易错点】 容易只看到 while 循环就误判成 O(n),没有注意区间是按二分速度缩小的。
第 9 题(单选题)
有5个字符,它们出现的次数分别为2次、2次、3次、3次、5次。现在要用哈夫曼编码的方式来为这些字符进行编码,最小加权路径长度WPL(每个字符的出现次数×它的编码长度,再把每个字符结果加起来)的值为()。
正确答案B
解析详情
【答案】B
【考点】哈夫曼树;带权路径长度;贪心合并
【解析】 每次取当前最小的两个权值合并:2 和 2 合并得 4,贡献 4;3 和 3 合并得 6,贡献 6。 再把 4 和 5 合并得 9,贡献 9;最后 6 和 9 合并得 15,贡献 15。总 WPL 为 4+6+9+15=34,所以选 B。
【易错点】 容易只把最后一层的结果相加,漏掉每一次合并产生的代价都要计入 WPL。
第 10 题(单选题)
下面程序的运行结果为()。
#include <iostream>
using namespace std;
int f(int n) {
if (n <= 2) return n * 2;
return f(n - 1) + f(n - 2);
}
int main() {
cout << f(5) << endl;
return 0;
}正确答案B
解析详情
【答案】B
【考点】递归函数;递推计算;程序运行结果
【解析】 先算边界:f(1)=2,f(2)=4。 f(3)=f(2)+f(1)=4+2=6,f(4)=f(3)+f(2)=6+4=10,f(5)=f(4)+f(3)=10+6=16,所以程序输出 16。 因此正确选项是 B。
【易错点】 容易把 n<=2 的返回值看成 n,忽略了这里返回的是 n*2。
第 11 题(单选题)
一个简单无向图 G 有 36 条边,且每个顶点的度数都为 4,则图 G 的顶点个数为()。
正确答案C
解析详情
【答案】C
【考点】无向图度数;握手定理;图的基本性质
【解析】 无向图所有顶点度数之和等于边数的两倍,所以总度数为 2×36=72。 每个顶点度数都为 4,设顶点数为 V,则 4V=72,解得 V=18,因此选 C。
【易错点】 容易忘记无向边会给两个端点各贡献 1 次度数。
第 12 题(单选题)
下面关于二叉树的说法正确的是( )。
正确答案C
解析详情
【答案】C
【考点】二叉树性质;遍历序列;树高范围
【解析】 二叉树有 n 个结点时,高度最小出现在尽量“满”的情形,此时 h 约为 log2(n+1);高度最大出现在退化成链时,此时 h=n,所以 C 正确。 A 错,因为单结点树的中序和后序都只有同一个结点;B 错,因为只给先序和后序时一般不能唯一确定二叉树;D 错,如果根没有左孩子,先序遍历中根后面紧跟的可能是右孩子。
【易错点】 容易把“某些特殊二叉树可唯一确定”误当成“任意二叉树都能唯一确定”。
第 13 题(单选题)
假设一个算法时间复杂度的递推式是(为正整数),和,那么这个算法的时间复杂度是()。
正确答案B
解析详情
【答案】B
【考点】主定理;递归时间复杂度;分治算法
【解析】 这里 a=8,b=4,所以 n^{log_b a}=n^{log_4 8}=n^{3/2}=n\sqrt{n}。 递推中的非递归部分 f(n)=n\sqrt{n},恰好与 n^{log_b a} 同阶,属于主定理第二种情形,因此 T(n)=Θ(n\sqrt{n}\log n)。对应选项 B。
【易错点】 容易把 n^{log_4 8} 算成 n^2,忽略了 log_4 8=3/2。
第 14 题(单选题)
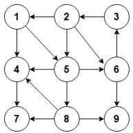
下面哪一个可能是下图的深度优先遍历序列()。

正确答案B
解析详情
【答案】B
【考点】深度优先搜索;图遍历;回溯顺序
【解析】 只要存在一种邻接点访问顺序能得到该序列,这个选项就“可能”是 DFS 序列。 从 1 出发,依次走 1→5→8→9,9 无新点后回溯到 8;再访问 7、4,继续回溯到 5;然后访问 6,再到 3,最后到 2,首次访问顺序正好是 1,5,8,9,7,4,6,3,2,因此 B 可以作为一次深度优先遍历序列。
【易错点】 容易按“边经过顺序”去读图,而不是按“首次到达顶点的顺序”记录 DFS 序列。
第 15 题(单选题)
下面这个有向图的强连通分量的个数是()。

正确答案C
解析详情
【答案】C
【考点】强连通分量;有向图;缩点分析
【解析】 按互相可达关系分组:1 和 2 可以互达,构成一个强连通分量;4、5、7、8 之间也能互相到达,构成一个分量。 右侧 6、9、10、11 之间存在回路 6→10→11→6,且 10→9、9→11,所以这四个点互相可达;3 只能走向右侧却回不到自身,单独成分量;12 也只能走向 11 或 9,无法被它们返回,所以也单独成分量。共得到 {1,2}、{3}、{4,5,7,8}、{6,9,10,11}、{12} 五个强连通分量,因此选 C。
【易错点】 容易只看局部回路,把能通过多步互达的 9、10、11、6 错拆成多个分量。
判断题(每题 2 分)
第 1 题(判断题)
C++语言中,表达式的结果类型为 int,值为 9。
正确答案错误
解析详情
【答案】错误
【考点】位运算;C++表达式求值
【解析】 在 C++ 里 `^` 表示按位异或,不表示乘方。 3 的二进制是 11,2 的二进制是 10,异或结果是 01,也就是整数 1,所以题干中“值为 9”的说法错误。表达式结果类型仍是整型,但结论整体为错误。
【易错点】 容易把数学里的幂运算符号直接套到 C++ 的 `^` 上。
第 2 题(判断题)
使用 cmath 头文件中的正弦函数,表达式的结果类型为 double,值约为 1.0。
正确答案错误
解析详情
【答案】错误
【考点】三角函数;弧度制;cmath 库
【解析】 `cmath` 中的 `sin` 函数参数按弧度解释,不按角度解释。 因此 `sin(90)` 计算的是 90 弧度的正弦值,结果大约是 0.894,不接近 1;只有 `sin(π/2)` 才等于 1,所以题干说法错误。
【易错点】 容易把程序库函数默认的弧度制误当成角度制。
第 3 题(判断题)
使用 strcmp("10", "9") 比较两个字符串,返回值大于0,说明 "10" 比 "9" 大。
正确答案错误
解析详情
【答案】错误
【考点】字符串比较;strcmp;字典序
【解析】 `strcmp` 按字符的字典序逐个比较,而不是把字符串先转成整数。 比较 "10" 和 "9" 时,先比较首字符 `1` 和 `9`,因为 `1` 的编码更小,所以返回值小于 0,表示 "10" 在字典序上比 "9" 小。题干说返回值大于 0,因此错误。
【易错点】 容易把字符串比较误认为数值大小比较。
第 4 题(判断题)
选择排序是一种不稳定的排序算法,而冒泡排序是一种稳定的排序算法。
正确答案正确
解析详情
【答案】正确
【考点】排序稳定性;选择排序;冒泡排序
【解析】 选择排序会把后面的最小元素直接交换到前面,这个交换可能改变相同关键字元素的先后顺序,所以它不稳定。 冒泡排序只交换相邻且逆序的元素,若实现时相等元素不交换,则相同关键字的相对顺序保持不变,因此它是稳定排序。题干判断正确。
【易错点】 容易只记算法名字,不区分“能否保持相同元素原有顺序”这一稳定性定义。
第 5 题(判断题)
求两个长度为 n 序列的最长公共子序列(LCS)长度时,可以使用滚动数组将空间复杂度从优化到。
正确答案正确
解析详情
【答案】正确
【考点】最长公共子序列;动态规划;空间优化
【解析】 LCS 的二维状态转移通常是 dp[i][j],其中第 i 行只依赖上一行和当前行左边的状态。 因此没有必要保留完整的 n×n 表,只保留两行或一行滚动数组就能完成转移,空间复杂度可以从 O(n^2) 降到 O(n)。所以题干说法正确。
【易错点】 容易因为看到二维状态表,就误以为空间复杂度一定不能压缩。
第 6 题(判断题)
在无向图中,所有顶点的度数之和等于边数的两倍。
正确答案正确
解析详情
【答案】正确
【考点】无向图度数;握手定理
【解析】 无向图中的每一条边都会分别给它连接的两个端点各贡献 1 次度数。 所以把所有顶点度数加起来时,每条边都会被计算两次,总和恰好等于边数的两倍,题干说法正确。
【易错点】 容易把“边数”与“度数和”直接对应,漏掉每条边对应两个端点。
第 7 题(判断题)
使用邻接矩阵存储一个有 V 个顶点、E 条边的图,对该图进行一次完整的BFS遍历,时间复杂度为。
正确答案错误
解析详情
【答案】错误
【考点】图的存储;广度优先搜索;时间复杂度
【解析】 若用邻接矩阵存图,BFS 访问某个顶点时需要扫描这一整行,检查它与所有 V 个顶点是否相邻。 完整遍历最多会对每个顶点都做一次这样的扫描,所以总复杂度是 O(V^2),不是邻接表情形下的 O(V+E)。因此题干错误。
【易错点】 容易把邻接表的复杂度公式直接套到邻接矩阵上。
第 8 题(判断题)
在图像处理或游戏开发中,泛洪(flood fill)算法既可以用BFS实现,也可以用DFS实现。
正确答案正确
解析详情
【答案】正确
【考点】泛洪算法;广度优先搜索;深度优先搜索
【解析】 flood fill 的核心是从起点出发,不断扩展到所有满足条件的相邻位置。 这个扩展过程既可以用队列按层推进形成 BFS,也可以用递归或显式栈不断深入形成 DFS,两种方法都能覆盖连通区域,所以题干正确。
【易错点】 容易把某一种常见实现当成唯一实现方式。
第 9 题(判断题)
使用链地址法处理冲突的哈希表,当所有元素都映射到同一个槽位时,查找操作的最坏时间复杂度为,其中n为元素个数。
正确答案正确
解析详情
【答案】正确
【考点】哈希冲突处理;链地址法;最坏时间复杂度
【解析】 链地址法把映射到同一槽位的元素串成链表或其他线性结构。 如果所有元素都落到同一个槽位,查找最坏情况下需要顺着整条链比较到最后一个元素,共比较 n 次量级,所以最坏时间复杂度是 O(n)。题干说法正确。
【易错点】 容易只记住哈希表“平均很快”,忽略严重冲突时的最坏情况。
第 10 题(判断题)
一个包含 V 个顶点的连通无向图,其任何一棵生成树都恰好包含 V - 1 条边。
正确答案正确
解析详情
【答案】正确
【考点】生成树;连通无向图;树的边数
【解析】 生成树要包含原图全部 V 个顶点,同时保持连通且不能有环。 一棵有 V 个顶点的树必有 V-1 条边;反过来,少一条就不连通,多一条就会成环,所以任何连通无向图的生成树都恰好有 V-1 条边。题干正确。
【易错点】 容易把“原图边数很多”误认为生成树也会保留很多边。