GESP 客观题评测系统
2025-09-Level-7
2025-09-Level-7
试卷解析总览,可直接查看每题答案与解析。
第 1 题(单选题)
已知小写字母 b 的 ASCII 码为 98,下列 C++ 代码的输出结果是()。
#include <iostream>
using namespace std;
int main() {
char a = 'b' + 1;
cout << a;
return 0;
}正确答案B
解析详情
【答案】B
【考点】字符与 ASCII;字符运算;输出类型
【解析】 字符 'b' 的码值是 98,'b'+1 得到 99,对应字符 'c'。赋给 char 后用 cout 输出的是字符本身,因此输出 c,选 B。
【易错点】 容易把字符运算结果当数字直接输出成 99。
第 2 题(单选题)
已知 a 为 int 类型变量,p 为 int * 类型变量,下列表达式不符合语法的是()。
正确答案B
解析详情
【答案】B
【考点】指针类型;运算符适用对象;C++ 表达式语法
【解析】 int 变量可以做乘法,逻辑与也可用于整型和指针的真假判断;但两个指针之间不能直接做乘法,所以 p * p 非法。其余三项语法上都成立。
【易错点】 不要把“指针可判真值”误认为“指针可参与任意算术运算”。
第 3 题(单选题)
下列关于C++类的说法,错误的是()。
正确答案A
解析详情
【答案】A
【考点】抽象类;纯虚函数;继承与对象模型
【解析】 含纯虚函数的类是抽象类,不能直接定义对象(B 对);派生类若不实现该虚函数,自己也继续是抽象类(D 对);派生类通常至少包含基类子对象(C 作为常规结论可成立)。 “抽象类不能有成员变量”是错误说法,抽象类完全可以有数据成员,因此选 A。
【易错点】 把“不能实例化”误解成“不能声明成员”。
第 4 题(单选题)
已知数组 a 的定义 int a[10] = {-1};,下列说法不正确的是()。
正确答案B
解析详情
【答案】B
【考点】数组初始化;越界访问;未定义行为
【解析】 int a[10] = {-1}; 只显式给第一个元素赋 -1,其余元素按规则补 0,不会全部是 -1,所以 B 不正确。A 的内存规模描述合理,C、D 都是越界写入,虽可能编译通过但运行结果未定义。
【易错点】 含花括号的部分初始化不会自动把所有元素设成同一个非零值。
第 5 题(单选题)
一棵完全二叉树有165个结点,则叶结点有多少个?()
正确答案C
解析详情
【答案】C
【考点】完全二叉树;叶子结点数量
【解析】 完全二叉树结点数为 n 时,叶子结点数为 ⌈n/2⌉。这里 n=165,所以叶子数为 ⌈165/2⌉=83,对应 C。
【易错点】 常把公式记成 n/2 或 ⌊n/2⌋,导致奇数结点时少算 1。
第 6 题(单选题)
下列关于二叉树的说法,错误的是()。
正确答案C
解析详情
【答案】C
【考点】二叉排序树;AVL 树;树高性质;森林与二叉树转换
【解析】 A 正确:BST 中序遍历是非降序。B 正确:AVL 是自平衡 BST。D 正确:森林可用“左孩子右兄弟”映射为二叉树。 C 错在“树高一定为 ⌊log2 n⌋”:BST 高度与插入顺序相关,最坏可退化到 O(n),并非固定值。
【易错点】 把“理想平衡时的高度”当成“所有 BST 的必然高度”。
第 7 题(单选题)
下列关于树和图的说法,错误的是()。
正确答案D
解析详情
【答案】D
【考点】树与图转换;有向无环图;连通与强连通
【解析】 A、B 都是把树边定向后的常见结论:分别得到有向弱连通图/有向无环图。C 也正确:每个连通图都有生成树。 D 错:有向图存在生成树(常指以某根可达所有点的分支)并不推出强连通,强连通要求任意两点互相可达,条件更强。
【易错点】 把“从根到各点可达”误当成“任意两点双向可达”。
第 8 题(单选题)
对一个包含V个顶点、E条边的图,执行广度优先搜索,其最优时间复杂度是()。
正确答案A
解析详情
【答案】A
【考点】图遍历复杂度;BFS
【解析】 BFS 会访问每个顶点一次,并遍历每条边(邻接表实现下每条边最多被检查常数次),总复杂度是 O(V+E)。因此选 A。
【易错点】 只看顶点数写 O(V) 或只看边数写 O(E) 都不完整。
第 9 题(单选题)
以下哪个方案不能合理解决或缓解哈希表冲突()。
正确答案A
解析详情
【答案】A
【考点】哈希冲突处理;开放/封闭策略
【解析】 冲突时直接覆盖旧元素会导致原数据丢失,无法保证查找正确性,不是合理冲突处理方案。链地址法、集中管理冲突元素、二级哈希等都可作为可行思路。
【易错点】 “实现简单”不等于“语义正确”,覆盖会破坏键值集合。
第 10 题(单选题)
以下关于贪心法和动态规划的说法中,错误的是()。
正确答案D
解析详情
【答案】D
【考点】贪心与动态规划;复杂度分类
【解析】 A 正确,很多问题不满足贪心选择性质。B 常见情形下也成立。C 对同一 DP 状态转移,递归记忆化与递推通常同阶。 D 错在“DP 一定是多项式时间”:状态空间可能本身是指数级或伪多项式,DP 并不自动保证多项式时间。
【易错点】 把“能用 DP”直接等同于“复杂度一定低”。
第 11 题(单选题)
下面程序的输出为()。
#include <iostream>
using namespace std;
int fib(int n) {
if (n == 0)
return 1;
return fib(n - 1) + fib(n - 2);
}
int main() {
cout << fib(6) << endl;
return 0;
}正确答案D
解析详情
【答案】D
【考点】递归边界;程序终止性
【解析】 fib 只设置了 n==0 的边界,调用 fib(6) 会递归到 fib(1)、fib(-1)、fib(-2)...,对负数没有终止条件,递归不会正常收敛,程序会异常终止(如栈溢出)。因此选 D。
【易错点】 按常见斐波那契模板习惯性默认有 n==1 边界。
第 12 题(单选题)
下面程序的时间复杂度为()。
int rec_fib[MAX_N];
int fib(int n) {
if (n <= 1)
return n;
if (rec_fib[n] != 0)
return rec_fib[n];
return fib(n - 1) + fib(n - 2);
}正确答案A
解析详情
【答案】A
【考点】递归复杂度;斐波那契递推
【解析】 该函数虽然检查了 rec_fib[n],但没有把新结果写回缓存,实质仍是朴素 fib 递归。其调用规模与斐波那契数同阶,时间复杂度为 O(φ^n),对应 A。
【易错点】 看到“记忆数组”就误判成 O(n),关键是是否真正完成记忆化写回。
第 13 题(单选题)
下面 init_sieve 函数的时间复杂度为()。
int sieve[MAX_N];
void init_sieve(int n) {
for (int i = 1; i <= n; i++)
sieve[i] = i;
for (int i = 2; i <= n; i++)
for (int j = i; j <= n; j += i)
sieve[j] --;
}正确答案C
解析详情
【答案】C
【考点】调和级数;筛法循环复杂度
【解析】 第一层初始化是 O(n)。双层循环总次数约为 n/1 + n/2 + ... + n/n = n·H_n = O(n log n)。因此整体复杂度为 O(n log n),选 C。
【易错点】 把双层循环机械看成 O(n^2),忽略内层步长随 i 增大。
第 14 题(单选题)
下面 count_triple 函数的时间复杂度为()。
int gcd(int m, int n) {
if (m == 0) return n;
return gcd(n % m, m);
}
int count_triple(int n) {
6 int cnt = 0;
7 for (int v = 1; v * v * 4 <= n; v++)
8 for (int u = v + 1; u * (u + v) * 2 <= n; u += 2)
9 if (gcd(u, v) == 1) {
10 int a = u * u - v * v;
11 int b = u * v * 2;
12 int c = u * u + v * v;
13 cnt += n / (a + b + c);
14 }
15 return cnt;
16 }正确答案C
解析详情
【答案】C
【考点】循环计数;欧几里得算法复杂度
【解析】 v 的范围约到 √n;对每个 v,u 的可选规模近似与 n/v 成反比求和后给出对数因子,且 gcd 调用是对数级。综合主导量可写为 O(n log n),对应 C。
【易错点】 只看两层循环上界就粗略写成 O(n^2)。
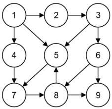
第 15 题(单选题)
下列选项中,哪个不可能是下图的深度优先遍历序列()。

正确答案B
解析详情
【答案】B
【考点】深度优先遍历序列判定;图遍历顺序约束
【解析】 DFS 序列要求“先一路深入、再回溯”,且每一步都必须沿图中存在的边到达。结合题图检查可知 B 的访问顺序违反了该深入/回溯约束,因此不可能由一次 DFS 产生;其余选项可通过合适邻接访问次序实现。
【易错点】 只比对顶点集合,不检查相邻可达与回溯时机。
判断题(每题 2 分)
第 1 题(判断题)
C++语言中,表达式 9 && 12 的结果类型为 int、值为 8。
正确答案错误
解析详情
【答案】错误
【考点】逻辑与运算;C++ 布尔语义
【解析】 在 C++ 中,9 && 12 会先按“非零即真”做逻辑与,结果为真,转成整数是 1,不是 8。
【易错点】 把 && 误当按位与或普通算术运算。
第 2 题(判断题)
C++语言中,在有 int a[10]; 定义的内围内,通过表达式 a[-1] 进行访问将导致编译错误。
正确答案错误
解析详情
【答案】错误
【考点】数组越界;编译期与运行期错误
【解析】 a[-1] 通常不会触发编译错误,因为语法合法;问题是运行时越界访问,行为未定义。
【易错点】 “越界”不等于“编译器一定报错”。
第 3 题(判断题)
选择排序一般是不稳定的。
正确答案正确
解析详情
【答案】正确
【考点】排序稳定性;选择排序
【解析】 选择排序会把当前最小元素与前面位置交换,可能改变相等元素的相对次序,因此一般是不稳定排序。
【易错点】 把“比较逻辑简单”误认为“稳定”。
第 4 题(判断题)
C++语言中,float 和 int 类型一般都是 4 字节,因此 float 类型能够表达不同的浮点数值的数量,与 int 类型能够表达不同的整数值的数量是相同的。
正确答案错误
解析详情
【答案】错误
【考点】浮点表示;数值离散集合
【解析】 虽然 float 和 int 常见都占 4 字节,但编码方式不同。float 需分配符号位/指数/尾数,能表示的数值分布与 int 完全不同,数量与范围特性也不等同。
【易错点】 把“字节数相同”误当“可表示值集合相同”。
第 5 题(判断题)
使用 math.h 或 cmath 头文件中的对数函数,表达式 log(256) 的结果类型为 double、值约为 8.0。
正确答案错误
解析详情
【答案】错误
【考点】对数函数;自然对数
【解析】 cmath 中 log(x) 默认是自然对数 ln(x)。log(256)=ln(256)≈5.545,不是 8;8 对应的是以 2 为底的对数。
【易错点】 把 log 默认当成 log2。
第 6 题(判断题)
一棵有N个节点的完全二叉树,则树的深度为。()
正确答案正确
解析详情
【答案】正确
【考点】完全二叉树深度公式
【解析】 含 N 个结点的完全二叉树深度为 ⌊log2 N⌋+1,这是完全二叉树按层填充性质的直接结论。
【易错点】 常把 +1 漏掉,和结点编号从 1 开始的层数定义混淆。
第 7 题(判断题)
邻接表和邻接矩阵都是图的存储形式。通常,使用邻接表比使用邻接矩阵的时间复杂度更低。
正确答案错误
解析详情
【答案】错误
【考点】邻接表与邻接矩阵;时空复杂度
【解析】 邻接表和邻接矩阵是存储结构,不是绝对“邻接表时间复杂度更低”。不同操作复杂度取决于任务与图密度,例如判边在矩阵是 O(1),邻接表通常要查找链表/向量。
【易错点】 把“稀疏图常用邻接表”误读成“所有操作都更快”。
第 8 题(判断题)
C++语言中,类的构造函数可以声明为私有(private)。
正确答案正确
解析详情
【答案】正确
【考点】访问控制;构造函数
【解析】 构造函数可以声明为 private,常用于单例或限制对象创建方式(如通过静态工厂函数)。
【易错点】 误以为构造函数必须是 public。
第 9 题(判断题)
泛洪算法的递归实现容易造成溢出,因此大的二维地图算法中,一般使用广度优先搜索实现。
正确答案正确
解析详情
【答案】正确
【考点】泛洪算法;递归深度;BFS/DFS 实现
【解析】 递归 DFS 在大图上可能因调用层数过深导致栈溢出;使用队列的 BFS 是迭代实现,通常更稳健,因此工程中常优先采用 BFS 版本。
【易错点】 只关注算法正确性,忽略实现层面的栈限制。
第 10 题(判断题)
很多游戏中为玩家设置多种可供学习的技能,要学习特定技能又往往需要先学习1个或以上的前置技能。尽管这样的技能间依赖关系常被玩家称为“技能树”,但它并不一定是树,更可能是有向无环图。
正确答案正确
解析详情
【答案】正确
【考点】DAG;依赖关系建模
【解析】 技能依赖常表现为“前置约束”,允许一个技能有多个前置或被多个技能依赖,这更符合有向无环图而非严格树结构。
【易错点】 把“树状展示界面”当成底层图结构一定是树。