GESP 客观题评测系统
2024-12-Level-7
2024-12-Level-7
试卷解析总览,可直接查看每题答案与解析。
第 1 题(单选题)
已知小写字母 b 的 ASCII 码为 98,下列 C++ 代码的输出结果是()。
#include <iostream>
using namespace std;
int main() {
char a = 'b';
cout << a + 1;
return 0;
}正确答案D
解析详情
【答案】D
【考点】char 类型提升
【解析】 'b' 的 ASCII 码是 98,表达式 a + 1 会先把 char 提升为 int,再做加法得到 99。`cout` 此时输出的是整数 99,不是字符 c。
【易错点】看到字符变量就直接联想到字符输出,容易忽略 `a + 1` 的结果类型已经变成 `int`。
第 2 题(单选题)
已知 a 为 int 类型变量,p 为 int * 类型变量,下列赋值语句不符合语法的是()。
正确答案A
解析详情
【答案】A
【考点】左值与右值
【解析】 `+a` 是对变量 `a` 做一元正号运算,结果是一个临时右值,不能出现在赋值号左边。`*p`、`a`、`*(p+a)` 都表示可写入的存储位置,所以其余三项语法合法。
【易错点】一元 `+` 不会“保持原变量身份”,它会产生一个不能赋值的表达式结果。
第 3 题(单选题)
已知数组 a 的定义 int a[10] = {0};,下列说法不正确的是()。
正确答案A
解析详情
【答案】A
【考点】数组越界与未定义行为
【解析】 `a[-1]` 在语法上能通过编译,它等价于对数组首地址之前的内存做访问,只是运行结果未定义。C++ 默认不检查下标是否落在 `0..9`,所以 A 把“越界”误说成“编译错误”。
【易错点】越界访问通常是运行期风险,不代表编译器一定会报错。
第 4 题(单选题)
下列关于 C++ 类的说法,错误的是()。
正确答案C
解析详情
【答案】C
【考点】静态成员函数
【解析】 静态方法属于类,但 C++ 语法仍允许用 `对象.静态方法()` 调用,本质上还是按类成员函数处理。A、B、D 都是正确表述,所以错误项是 C。
【易错点】“属于类”不等于“只能通过类名调用”,两者不要混为一谈。
第 5 题(单选题)
下列关于有向图的说法,错误的是()。
正确答案C
解析详情
【答案】C
【考点】有向图边数上界
【解析】 题目中的“有向图”未限定为简单有向图时,可以允许自环,此时每个顶点都能连向包括自己在内的 `n` 个顶点,最多是 `n^2` 条边。`n(n-1)` 对应的是无自环的有向完全图,所以 C 错、D 对。
【易错点】很多题默认把“有向图”当成“简单有向图”,这里要先看是否排除了自环。
第 6 题(单选题)
一棵二叉树的每个结点均满足:结点的左子树和右子树,要么同时存在,要么同时不存在。该树有197个结点,则其叶结点有多少个?()
正确答案B
解析详情
【答案】B
【考点】真二叉树性质
【解析】 每个结点要么有 2 个孩子,要么没有孩子,所以这是典型真二叉树。设内部结点数为 `I`、叶结点数为 `L`,有 `L=I+1`,再由 `L+I=197` 得 `2I+1=197`,所以 `I=98,L=99`。
【易错点】这类题不要硬画树,直接套 `叶子数 = 内部结点数 + 1` 更快。
第 7 题(单选题)
下列关于二叉树的说法,错误的是()。
正确答案B
解析详情
【答案】B
【考点】二叉排序树高度
【解析】 二叉排序树的高度与插入顺序有关:若按有序序列插入,树会退化成链,高度可达 `n-1`,并不固定是 `⌊log2 n⌋`。只有 AVL、红黑树这类平衡搜索树才把高度控制在对数量级。
【易错点】“中序有序”是 BST 的性质,但这并不代表它天然平衡。
第 8 题(单选题)
一个简单无向图有10个结点、6条边。在最差情况,至少增加多少条边可以使其连通?()
正确答案C
解析详情
【答案】C
【考点】无向图连通分量
【解析】 要让后续补边数最多,就要先让现有 6 条边尽量“浪费”在少数点上。6 条边正好可以构成 4 个点的完全图 `K4`,其余 6 个点都是孤立点,于是共有 7 个连通分量;把 7 个分量连成一个连通图至少还要 `7-1=6` 条边。
【易错点】最差情况不是边尽量分散,而是边尽量集中,连通分量才会最多。
第 9 题(单选题)
一个哈希表,包括n个位置(分别编号0~∼(n-1)),每个位置最多仅能存储一个元素。该哈希表只有插入元素和查询两种操作,没有删除或修改元素的操作。以下说法错误的是()。
正确答案D
解析详情
【答案】D
【考点】开放寻址哈希查询
【解析】 题目明确只有插入和查询,没有删除;开放寻址插入时一旦遇到空位就会停下并存入,因此探查链不会跨过空位。查询某元素时,如果它的哈希起点位置就是空位,就说明这条探查链根本没开始,该元素不可能已经在表中,所以 D 错。
【易错点】把“有删除标记的哈希表”经验套到本题上,容易误以为空位后面还可能藏着元素。
第 10 题(单选题)
以下关于动态规划的说法中,错误的是()。
正确答案D
解析详情
【答案】D
【考点】动态规划实现方式
【解析】 动态规划常见实现有自顶向下记忆化搜索和自底向上递推,两者都可能成立。递推并不一定比递归慢;有时递推少了函数调用开销,有时记忆化只计算被访问到的状态,所以“总是不低于”这个绝对化表述错误。
【易错点】看到递归就先入为主地认为一定更慢,忽略了状态访问范围也会影响实际复杂度。
第 11 题(单选题)
下面程序的输出为()。
#include <iostream>
#include <cmath>
using namespace std;
int main() {
cout << (int)exp(2) << endl;
return 0;
}正确答案B
解析详情
【答案】B
【考点】`exp` 函数与类型转换
【解析】 `exp(2)` 计算的是 `e^2`,数值约为 `7.389...`,再强制转换成 `int` 时会直接截去小数部分,结果变成 `7`。程序能正常编译,所以输出是 7。
【易错点】`exp(x)` 的底数是自然常数 `e`,不是 10,也不是“指数写法”的占位符。
第 12 题(单选题)
下面程序的输出为()。
#include <iostream>
#define N 10
using namespace std;
int h[N];
int main() {
h[0] = h[1] = 1;
for (int n = 2; n < N; n++)
for (int j = 0; j < n; j++)
h[n] += h[j] * h[n - j - 1];
cout << h[6] << endl;
return 0;
}正确答案A
解析详情
【答案】A
【考点】卡特兰数递推
【解析】 `h` 是全局数组,未赋值部分会先被初始化为 0。递推式 `h[n] += h[j] * h[n-j-1]` 正是卡特兰数,依次可得 `h2=2,h3=5,h4=14,h5=42,h6=132`,所以输出 132。
【易错点】如果把 `h` 当成局部数组,就会误判为“初值随机”,但题里它是全局数组。
第 13 题(单选题)
上题中程序的时间复杂度为()。
正确答案D
解析详情
【答案】D
【考点】双重循环复杂度
【解析】 外层 `n` 取 `2..N-1`,内层每次执行 `n` 次,因此总次数是 `2+3+...+(N-1)`。这个和约为 `N(N-1)/2`,数量级是 `O(N^2)`。
【易错点】内层上界不是固定常数,而是跟着外层一起增长。
第 14 题(单选题)
下面 init_sieve 函数的时间复杂度为()。
int sieve[MAX_N];
void init_sieve(int n) {
for (int i = 1; i <= n; i++)
sieve[i] = i;
for (int i = 2; i <= n; i++)
for (int j = i; j <= n; j += i)
sieve[j] --;
}正确答案B
解析详情
【答案】B
【考点】调和级数复杂度
【解析】 第一层初始化是 `O(n)`。第二重循环里,固定 `i` 时,`j` 依次取 `i, 2i, 3i...`,大约执行 `n/i` 次,所以总工作量为 `n(1/2+1/3+...+1/n)`,即 `O(n log n)`。
【易错点】看到双重循环就直接判成 `O(n^2)`,会漏掉内层步长是 `i` 这一关键信息。
第 15 题(单选题)
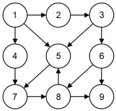
下列选项中,哪个不可能是下图的深度优先遍历序列()。

正确答案A
解析详情
【答案】A
【考点】深度优先遍历
【解析】 按 A 的前半段可走出 `1→2→3→5→7→8`。但图中从 8 出发只有到 5、9 的边,5 已访问后若继续 DFS,下一步只能到 9,不可能直接跳到 6;若回溯到 3 再去 6,也必须先把 8 的未访问邻点 9 处理完,所以 A 不可能出现。
【易错点】判断 DFS 序列时,不能只看“有没有边”,还要看当前递归栈顶结点是否还有未访问邻点。
判断题(每题 2 分)
第 1 题(判断题)
表达式的结果为 125。
正确答案错误
解析详情
【答案】错误
【考点】按位异或运算
【解析】 在 C++ 里 `^` 表示按位异或,不表示乘方。`5^3` 实际计算的是 `101 XOR 011 = 110`,十进制结果为 6,所以不是 125。
【易错点】把数学记号里的幂运算习惯直接搬到 C++ 表达式里。
第 2 题(判断题)
在C++语言中,函数定义和函数调用可以不在同一个文件内。
正确答案正确
解析详情
【答案】正确
【考点】多文件编译
【解析】 C++ 支持把函数定义放在另一个源文件中,再通过声明和链接来调用。调用处只要先看到函数声明,链接阶段能找到对应定义即可。
【易错点】不同文件不等于可以“直接调用而不声明”,声明通常仍要放在头文件里。
第 3 题(判断题)
在 n 个元素中进行二分查找,平均时间复杂度是,但须要事先进行排序。
正确答案正确
解析详情
【答案】正确
【考点】二分查找
【解析】 二分查找每比较一次就把待查区间缩小到原来的一半,所以比较次数约为 `log2 n`,平均时间复杂度是 `O(log n)`。但这种“折半”成立的前提是序列已经按关键字排好序。
【易错点】复杂度记住了还不够,二分查找最关键的使用前提是有序。
第 4 题(判断题)
unsigned long long 类型是C++语言中表达范围最大的非负整数类型之一,其表达范围是。超出该范围的非负整数运算,将无法使用C++语言进行计算。
正确答案错误
解析详情
【答案】错误
【考点】整数范围与大数处理
【解析】 `unsigned long long` 的常见范围确实是 `[0, 2^64-1]`,但这不代表超出后“无法用 C++ 计算”。可以用高精度整数、数组模拟大数,或在部分编译器下用 `__int128` 继续处理更大的非负整数。
【易错点】不要把“某个内置类型装不下”误解成“这门语言完全做不了”。
第 5 题(判断题)
使用 math.h 或 cmath 头文件中的函数,表达式 log2(32) 的结果为 5、类型为 int。
正确答案错误
解析详情
【答案】错误
【考点】数学函数返回类型
【解析】 `log2(32)` 的数值结果是 5,但 `math.h/cmath` 中这类函数默认返回浮点类型,通常是 `double`,因此结果类型不是 `int`。题干把“值为 5”和“类型为 int”连在一起,所以整体错误。
【易错点】函数返回值恰好是整数,不代表返回类型就是整型。
第 6 题(判断题)
C++是一种面向对象编程语言,C则不是。继承是面向对象三大特性之一。因此,使用C语言无法实现继承。
正确答案错误
解析详情
【答案】错误
【考点】继承机制与模拟
【解析】 C 语言没有像 C++ 那样的关键字级继承机制,但可以用结构体嵌套、函数指针等方式模拟“基类 + 派生类”效果。题干把“没有原生语法支持”直接推成“完全无法实现”,这个结论过头了。
【易错点】语言不原生支持某特性,不代表程序设计上完全不能模拟。
第 7 题(判断题)
邻接表和邻接矩阵都是图的存储形式。邻接表在遍历单个顶点的所有边时,时间复杂度更低;邻接矩阵在判断两个顶点之间是否有边时,时间复杂度更低。
正确答案正确
解析详情
【答案】正确
【考点】邻接表与邻接矩阵
【解析】 邻接表只存实际存在的边,遍历某个顶点的所有出边只需扫它自己的链表,复杂度是 `O(度数)`。邻接矩阵直接查看 `matrix[u][v]` 就能判断两点是否相连,因此查边是 `O(1)`。
【易错点】邻接矩阵查一条边快,但遍历某点所有边通常要把整行都扫一遍。
第 8 题(判断题)
MD5 是一种常见的哈希函数,可以由任意长度的数据生成 128 位的哈希值,曾广泛应用于数据完整性校验。中国科学家的系列工作首次发现了可实用的 MD5 破解方法。之后,MD5 逐渐被其他哈希函数所取代。
正确答案正确
解析详情
【答案】正确
【考点】MD5 与哈希碰撞
【解析】 MD5 的输出长度是 128 位,可处理任意长度输入,早期常用于完整性校验。后来中国科学家王小云团队给出了实用级碰撞攻击,说明它已不适合安全敏感场景,因此逐步被更安全的哈希函数替代。
【易错点】MD5 仍能做普通文件校验,但不能再当作安全强度足够的密码学哈希来依赖。
第 9 题(判断题)
递归调用在运行时会由于层数过多导致程序崩溃,可以通过循环配合栈缓解这一问题。
正确答案正确
解析详情
【答案】正确
【考点】递归改写为迭代
【解析】 递归每深入一层都会占用一层函数调用栈,层数过深时可能触发栈溢出。把递归改成“循环 + 自己维护的栈”后,状态仍能保存,但不再依赖有限的系统调用栈,所以可以缓解这类崩溃。
【易错点】显式栈不是不要栈,而是把栈从系统调用栈换成了程序自己管理的数据结构。
第 10 题(判断题)
一个图中,每个顶点表达一个城市,连接两个顶点的边表达从一个城市到达另一个城市的一种交通方式。这个图可以用来表达交通网络,且是简单有向图。
正确答案错误
解析详情
【答案】错误
【考点】简单有向图定义
【解析】 若两个城市之间既有高铁又有航班,就会对应同一对顶点之间的多条有向边;而简单有向图不允许重边。交通网络当然可以用图表示,但更自然的是一般有向图或带重边的图,不一定是简单有向图。
【易错点】题目一说“一个城市到另一个城市的一种交通方式”,就要警惕同一对城市之间可能不止一种方式。