GESP 客观题评测系统
2024-09-Level-7
2024-09-Level-7
试卷解析总览,可直接查看每题答案与解析。
第 1 题(单选题)
已知小写字母 b 的 ASCII 码为 98,下列 C++ 代码的输出结果是()。
#include <iostream>
using namespace std;
int main() {
char a = 'b';
a++;
cout << a;
return 0;
}正确答案B
解析详情
【答案】B
【考点】ASCII 码与字符运算
【解析】 char 变量存的是字符编码,'b' 的 ASCII 码是 98,执行 a++ 后变成 99,对应字符就是 'c'。 cout 输出的是字符本身,因此结果为 c,不是 98 或 99。
【易错点】 容易把 char 自增后的输出误当成 ASCII 数值。
第 2 题(单选题)
已知 a 为 int 类型变量,下列表表达式不符合语法的是()。
正确答案D
解析详情
【答案】D
【考点】运算符语法
【解析】 a++ 是一个完整的后置自增表达式,后面不能直接再接 3 组成 a++3,所以该写法不合法。 A 是取地址后再做偏移,B 可按 (+a) & 3 解析,C 可按 a-- - 4 解析,语法上都能成立。
【易错点】 容易把 a++3 误看成 a + +3,而词法分析并不会这样拆分。
第 3 题(单选题)
下列关于C++语言中指针的叙述,不正确的是()。
正确答案C
解析详情
【答案】C
【考点】指针与自引用结构
【解析】 结构体成员完全可以是指向本结构体类型的指针,例如链表结点里的 Node* next,这正是常见写法。 A、B、D 都是指针的基本性质,只有 C 否定了这种自引用结构,因此错误。
【易错点】 容易把“结构体中不能直接包含自身对象”和“不能包含指向自身的指针”混为一谈。
第 4 题(单选题)
下列关于 C++ 类的说法,错误的是()。
正确答案C
解析详情
【答案】C
【考点】构造函数与对象初始化
【解析】 定义类对象时不一定调用默认构造函数,也可能调用有参构造函数或复制构造函数,所以 C 错。 按值传参会触发复制构造,派生类对象构造前会先构造基类部分,对象赋值也不是重新构造。
【易错点】 容易把“定义对象”一律等同于“无参构造”。
第 5 题(单选题)
某二叉树T的先序遍历序列为:{A B D C E G H F},中序遍历序列为:{D B A H G E C F},则下列说法中正确的是()。
正确答案A
解析详情
【答案】A
【考点】二叉树重建与性质判断
【解析】 由先序和中序可还原出最长路径 A-C-E-G-H,共 5 层,所以树高为 5。 这棵树的叶子只有 D、H、F 共 3 个,而且右子树形成长链,不是平衡树,因此只有 A 正确。
【易错点】 容易只数边数或把“层数”和“高度”定义混用。
第 6 题(单选题)
一棵完全二叉树有431个结点,则叶结点有多少个?()
正确答案C
解析详情
【答案】C
【考点】完全二叉树结点统计
【解析】 完全二叉树的叶结点数为 ceil(n/2),也可写成 floor((n+1)/2)。 当 n=431 时,叶结点数为 216,所以选 C。
【易错点】 容易把“完全二叉树”误按“满二叉树”公式处理。
第 7 题(单选题)
下列关于树的说法,错误的是()。
正确答案A
解析详情
【答案】A
【考点】树的遍历与基本定义
【解析】 深度优先遍历包含先序、中序、后序等多种方式,中序只是其中一种,不可能“总是相同”,所以 A 错。 一般树都能通过孩子兄弟表示法转成二叉树;祖先关系在同一路径上具有传递性;树中每个结点都至多有一个父结点。
【易错点】 容易把“深度优先”直接等同于“中序遍历”。
第 8 题(单选题)
一个简单无向图有10个结点、30条边。再增加多少条边可以成为完全图。()
正确答案B
解析详情
【答案】B
【考点】完全图边数公式
【解析】 10 个结点的完全无向图共有 10×9÷2=45 条边。 原图已有 30 条边,还需补 45-30=15 条边,所以选 B。
【易错点】 容易把无向图边数按 10×9 计算,忘了每条边被重复计数一次。
第 9 题(单选题)
以下哪个方案可以合理解决或缓解哈希表冲突()。
正确答案D
解析详情
【答案】D
【考点】哈希冲突解决
【解析】 发生冲突后继续寻找后面的空位,是开放定址法中的线性探测,能够保留原有元素并插入新元素。 直接丢弃或覆盖旧元素都会丢数据,机械地放到“下一个位置”如果仍冲突也不能解决问题。
【易错点】 容易把“冲突后换个位置”简化成只移动一格,而忽略继续探测空位。
第 10 题(单选题)
一个迷宫,已知从起点不经过重复结点到达终点的路径有且仅有一条,则下面说法错误的是()。
正确答案D
解析详情
【答案】D
【考点】图搜索与连通性
【解析】 从起点到终点只有一条不重复结点的路径,并不等于整个连通部分无环;环完全可能挂在主路径某个点上而不影响起终点间唯一路径。 DFS、BFS 都能找到这条路,而在同一连通块中的结点既然与起点连通,也一定能通过连通块到达终点。
【易错点】 容易把“起点到终点路径唯一”误判成“整个图是一棵树”。
第 11 题(单选题)
下面程序的输出为()。
#include <iostream>
#include <cmath>
using namespace std;
int main() {
cout << (int)log(8) << endl;
return 0;
}正确答案A
解析详情
【答案】A
【考点】数学函数与类型转换
【解析】 cmath 中的 log 是自然对数,log(8) 约等于 2.079。 强制转换为 int 会截去小数部分,得到 2,因此输出 A。
【易错点】 容易把 log 当成以 2 或 10 为底的对数。
第 12 题(单选题)
下面程序的输出为()。
#include <iostream>
#define N 10
using namespace std;
int path[N][N];
int main() {
for (int i = 1; i < N; i++)
path[i][0] = i;
for (int j = 1; j < N; j++)
path[0][j] = j;
for (int i = 1; i < N; i++)
for (int j = 1; j < N; j++)
path[i][j] = path[i - 1][j] + path[i][j - 1];
cout << path[8][4] << endl;
return 0;
}正确答案C
解析详情
【答案】C
【考点】动态规划表递推
【解析】 数组是全局变量,初值为 0,再把第一行和第一列分别设成 1 到 9。 随后按 path[i][j]=path[i-1][j]+path[i][j-1] 递推,算到 path[8][4] 的结果是 1012,所以选 C。
【易错点】 容易忽略全局数组默认初始化为 0,从而误以为结果随机。
第 13 题(单选题)
上题中程序的时间复杂度为()。
正确答案D
解析详情
【答案】D
【考点】循环复杂度分析
【解析】 初始化两条边界各是 O(N),核心部分是两层从 1 到 N-1 的嵌套循环,共执行约 N^2 次。 主导项来自双重循环,所以总时间复杂度是 O(N^2)。
【易错点】 容易只看到几段顺序循环,漏掉真正主导开销的二维递推。
第 14 题(单选题)
下面 fib 函数的时间复杂度为()。
int fib_rcd[MAX_N];
int fib(int n) {
if (n <= 1)
return 1;
if (fib_rcd[n] > 0)
return fib_rcd[n];
return fib(n - 1) + fib(n - 2);
}正确答案B
解析详情
【答案】B
【考点】递归复杂度
【解析】 代码只检查 fib_rcd[n],却没有把新算出的结果写回去,所以记忆化实际上没有生效。 递推仍近似满足 T(n)=T(n-1)+T(n-2),时间复杂度是指数级;在给定选项中应选更精确的 B,而不是 D。
【易错点】 容易看到记录数组就直接判断成线性复杂度,却没检查是否真的写入缓存。
第 15 题(单选题)
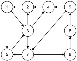
下列选项中,哪个可能是下图的广度优先遍历序列()。

正确答案A
解析详情
【答案】A
【考点】广度优先遍历
【解析】 需结合图片确认。按图中有向边从 1 出发,第一层可以到 3、5;再由 3 扩展出 7、4、2,因此序列 1,3,5,7,4,2,6,8,9 可以作为某种邻接访问顺序下的 BFS 结果。 其余选项把更深层结点提前,或与图中的可达方向不符,所以不可能。
【易错点】 容易把同层结点的访问先后看成固定不变,或忽略边的方向。
判断题(每题 2 分)
第 1 题(判断题)
表达式 'a' << 1 的结果为 'a'。
正确答案错误
解析详情
【答案】错误
【考点】位运算与字符类型
【解析】 字符 'a' 的编码是 97,表达式 'a' << 1 会先按整数参与左移,得到 194,而不是字符 'a'。 左移运算改变的是二进制位,不会保持原字符不变。
【易错点】 容易把字符字面量当成“只能得到字符”的值,忽略它本质上也能参与整数运算。
第 2 题(判断题)
在 C++ 语言中,函数可以定义在另一个函数定义之内。
正确答案错误
解析详情
【答案】错误
【考点】函数定义规则
【解析】 标准 C++ 不允许在一个函数体内部再定义另一个函数。 函数可以在类内定义成员函数,也可以声明后在外部实现,但不能写成嵌套函数定义。
【易错点】 容易把其他语言支持的局部函数写法套到 C++。
第 3 题(判断题)
选择排序一般是不稳定的。
正确答案正确
解析详情
【答案】正确
【考点】排序稳定性
【解析】 选择排序每一趟会把最小值直接交换到前面,这次交换可能让相等元素的相对次序发生改变。 因此它一般是不稳定排序。
【易错点】 容易把“每轮只选最小值”误以为不会影响相等元素顺序。
第 4 题(判断题)
埃氏筛法和欧拉筛法都是使用筛法思想生成素数表的算法,欧拉筛法的时间复杂度更低。
正确答案正确
解析详情
【答案】正确
【考点】筛法复杂度
【解析】 埃氏筛法的复杂度通常记为 O(n log log n),欧拉筛法能做到线性筛,即 O(n)。 两者都用“筛去合数”的思想,但欧拉筛在复杂度上更低。
【易错点】 容易只记住两者都是筛法,却忽略了重复标记次数不同。
第 5 题(判断题)
使用 math.h 或 cmath 头文件中的正弦函数,表达式的结果类型为 double、值约为 0.5。
正确答案错误
解析详情
【答案】错误
【考点】三角函数返回值
【解析】 sin 函数的返回类型确实是 double,但 sin(3θ) 的数值取决于 θ,不给出 θ 就不能确定约为 0.5。 命题把“类型正确”和“具体值固定”绑在一起,因此整体是错的。
【易错点】 容易看到 sin 结果范围在 -1 到 1 之间,就草率接受某个具体数值。
第 6 题(判断题)
一颗N层的完全二叉树,一定有个结点。
正确答案错误
解析详情
【答案】错误
【考点】完全二叉树与满二叉树
【解析】 N 层满二叉树才一定有 2^N-1 个结点;完全二叉树只要求除最后一层外全满,最后一层可以不满。 所以 N 层完全二叉树的结点数不一定恰好等于 2^N-1。
【易错点】 容易把“完全二叉树”和“满二叉树”两个概念混淆。
第 7 题(判断题)
一个图,不管是否连通,都可以使用深度优先搜索算法进行遍历。
正确答案正确
解析详情
【答案】正确
【考点】图遍历
【解析】 图不连通时,从某个起点做一次 DFS 只能遍历一个连通块。 如果把“遍历整个图”理解为对每个未访问结点再补一次 DFS,那么无论图是否连通都可以完成遍历。
【易错点】 容易把“一次 DFS”与“DFS 遍历整张图”混成同一个概念。
第 8 题(判断题)
某个哈希表键值 x 为整数,是常用的哈希函数之一,要求 p 选择素数是因为这样不会产生冲突。()
正确答案错误
解析详情
【答案】错误
【考点】哈希函数设计
【解析】 选素数 p 是为了让取模分布更均匀、减少某些规律数据带来的聚集,但并不能保证完全没有冲突。 只要两个不同整数相差 p 的倍数,取模后仍可能落到同一个槽位。
【易错点】 容易把“冲突更少”误说成“绝不会冲突”。
第 9 题(判断题)
使用单链表实现队列时,链表头结点作为队首比链表头结点作为队尾更便于操作。
正确答案正确
解析详情
【答案】正确
【考点】链表队列实现
【解析】 单链表只能方便地从头结点往后走,因此把头结点作为队首时,出队可直接删除表头,操作更简单。 若把头结点当队尾,想在队首出队就需要找到前驱,效率和实现都会变差。
【易错点】 容易只考虑入队方向,忽略单链表删除尾部前驱不易获得。
第 10 题(判断题)
一个图中,每个结点表达一个人,连接两个结点的边表达两个结点对应的人相互认识,则这个图可以用来表达社交网络。
正确答案正确
解析详情
【答案】正确
【考点】图的建模
【解析】 把人看作结点、把“互相认识”看作边,正是社交网络最常见的图模型之一。 后续还可以在这个图上分析好友关系、连通分量和传播路径等问题。
【易错点】 容易把图论模型理解得过窄,忽略现实关系网络本就常用图来表示。