GESP 客观题评测系统
2024-06-Level-7
2024-06-Level-7
试卷解析总览,可直接查看每题答案与解析。
第 1 题(单选题)
下列C++代码的输出结果是()。
#include <iostream>
#include <cmath>
using namespace std;
int main() {
cout << sin(3.1415926 / 2);
return 0;
}正确答案B
解析详情
【答案】B
【考点】三角函数与 C++ 数学库
【解析】 程序输出的是 sin(3.1415926 / 2),即接近 sin(π/2)。 sin(π/2)=1,所以输出结果为 1。
【易错点】 不要把弧度制函数误按角度制计算。
第 2 题(单选题)
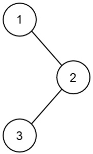
对于如下图的二叉树,说法正确的是()。

正确答案D
解析详情
【答案】D
【考点】二叉树遍历
【解析】 图中根结点是 2,左子结点为 1,右子结点为 3。 先序遍历为 213,后序遍历为 132,二者正好互为逆序,因此 D 正确。
【易错点】 二叉树画面朝向不影响父子关系,不能把 1 或 3 误看成根。
第 3 题(单选题)
已知两个序列s1={1,3,4,5,6,7,7,8,1}、s2={3,5,7,4,8,2,9,5,1},则它们的最长公共子序列是()。
正确答案A
解析详情
【答案】A
【考点】最长公共子序列
【解析】 {3,5,7,8,1} 在 s1 和 s2 中都能按顺序取到,长度为 5。 B 在 s2 中 4 出现在 7 后面,D 含有 9 但 s1 中没有 9,所以 A 才是最长公共子序列。
【易错点】 公共子序列只要求相对顺序一致,不要求在原序列中连续。
第 4 题(单选题)
关于序列 {2,7,1,5,6,4,3,8,9},以下说法错误的是()。
正确答案D
解析详情
【答案】D
【考点】最长上升子序列与最长下降子序列
【解析】 这个序列的最长上升子序列长度为 5,{2,5,6,8,9} 和 {1,5,6,8,9} 都满足。 因此“{1,5,6,8,9} 是唯一最长上升子序列”错误,D 为答案。
【易错点】 判断 LIS 时先看长度,再看是否唯一,不能只找到一个就下结论。
第 5 题(单选题)
关于图的深度优先搜索和广度优先搜索,下列说法错误的是()。
正确答案D
解析详情
【答案】D
【考点】图遍历与树遍历
【解析】 二叉树的前序、后序遍历都沿着一条分支先走到底,再回溯,本质上属于深度优先。 广度优先对应的是按层访问,二叉树中典型形式是层序遍历,不是后序遍历。
【易错点】 树也是图,但“后序遍历”和“层序遍历”对应的搜索方式完全不同。
第 6 题(单选题)
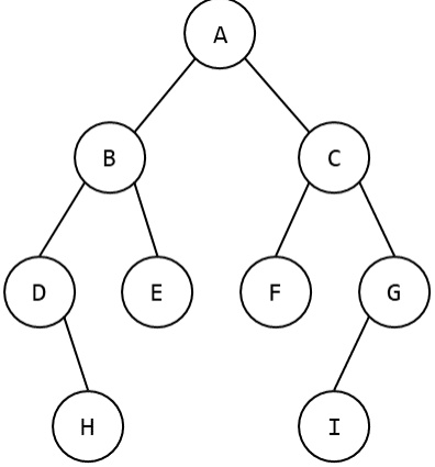
对于如下二叉树,下面访问顺序说法错误的是()。

正确答案A
解析详情
【答案】A
【考点】二叉树的先序、后序与层序遍历
【解析】 该树的后序遍历应为 HDEBFIGCA,所以 A 中“不是它的后序遍历序列”这句话错误。 B 的层序为 ABCDEFGHI,D 的先序为 ABDHECFGI,均与图一致。
【易错点】 判断“错误的是”时,要先确认选项陈述本身真假,别被双重否定带偏。
第 7 题(单选题)
以下哪个方案不能合理解决或缓解哈希表冲突()。
正确答案A
解析详情
【答案】A
【考点】哈希冲突处理
【解析】 发生冲突时直接丢弃新元素会造成数据丢失,不能算合理的冲突处理方案。 拉链、在桶内再建树、再做二级哈希都属于可行的缓解思路。
【易错点】 “简单”不等于“合理”,哈希表首先要保证元素不会无故丢失。
第 8 题(单选题)
在C++中,关于运算符&,下面说法正确的是()。
正确答案C
解析详情
【答案】C
【考点】按位与运算
【解析】 在 C++ 中,& 对整数做按位与运算。3 的二进制是 011,6 的二进制是 110,011 & 110 = 010,即 2。 所以正确说法是 C。
【易错点】 不要把按位与和逻辑与混淆,按位与的结果仍是整数。
第 9 题(单选题)
下面关于图的说法正确的是()。
正确答案D
解析详情
【答案】D
【考点】有向图基本性质
【解析】 有向图中每条边都会给某个顶点贡献 1 个出度、给某个顶点贡献 1 个入度,所以所有顶点入度和加出度和等于 2 倍边数。 这正是 D 的内容。
【易错点】 “任意两点之间有边”不等于一定强连通,还要看边的方向能否形成可达路径。
第 10 题(单选题)
图的存储和遍历算法,下面说法错误的是()。
正确答案B
解析详情
【答案】B
【考点】图的深度优先搜索
【解析】 图的深度优先搜索和二叉树先序遍历的核心思想是相近的,都是先沿一条分支尽量深入,再回溯。 因此 B 说“道理是不一样的”错误。
【易错点】 实现对象不同,不代表遍历思想不同;DFS 和先序遍历的回溯思路是一致的。
第 11 题(单选题)
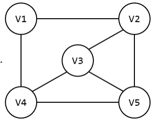
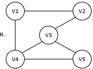
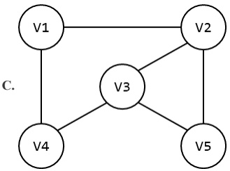
如下图所示的邻接表结构,表示的是下列哪个选项中的图?
θ V1 3 1 ^
1 V2 4 2 θ ^
2 V3 4 3 1 ^
3 V4 2 θ ^
4 V5 2 1 ^



正确答案C
解析详情
【答案】C
【考点】邻接表读图
【解析】 由邻接表可读出主要连接关系:V1 连 V2、V4;V3 连 V2、V4、V5;V5 还与 V2 相连。 四个选项中,只有 C 同时满足这些边关系,因此对应图是 C。
【易错点】 读邻接表时要按整张表汇总边,不能只看某一行就仓促选图。
第 12 题(单选题)
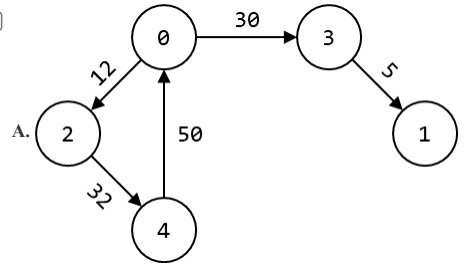
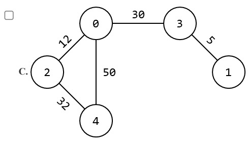
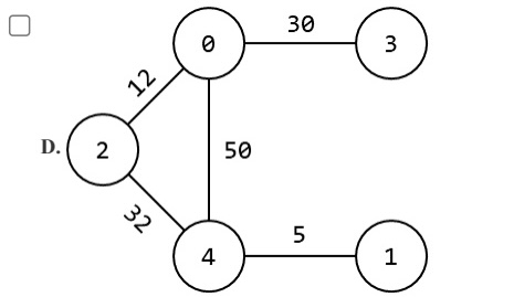
如下图所示的邻接矩阵(inf表示无穷大),表示的是下列哪个选项中的图?
0 1 2 3 4
0 inf inf 12 30 inf
1 inf inf inf inf inf
2 inf inf inf inf 32
3 inf 5 inf inf inf
4 50 inf inf inf inf



正确答案A
解析详情
【答案】A
【考点】邻接矩阵读图
【解析】 矩阵中非 inf 的位置表示有向带权边:0→2 权 12,0→3 权 30,2→4 权 32,3→1 权 5,4→0 权 50。 只有 A 的边方向和权值与这 5 条记录完全一致。
【易错点】 邻接矩阵题要同时核对“方向”和“权值”,只看是否连通很容易选错。
第 13 题(单选题)
下面程序的输出为()。
#include <iostream>
using namespace std;
int fib(int n) {
if (n <= 1)
return n;
return fib(n - 1) + fib(n - 2);
}
int main() {
cout << fib(6) << endl;
return 0;
}正确答案B
解析详情
【答案】B
【考点】递归求斐波那契数列
【解析】 fib(0)=0,fib(1)=1,递推得到 fib(2)=1,fib(3)=2,fib(4)=3,fib(5)=5,fib(6)=8。 因此程序输出 8。
【易错点】 这段代码的斐波那契定义从 0 开始,不要误把 fib(6) 算成 13。
第 14 题(单选题)
下面 count_triple 函数的时间复杂度为()。
int count_triple(int n) {
int cnt = 0;
for (int a = 1; a <= n; a++)
for (int b = a; a + b <= n; b++) {
int c = sqrt(a * a + b * b);
if (a + b + c > n)
break;
if (a * a + b * b == c * c)
cnt++;
}
return cnt;
}正确答案B
解析详情
【答案】B
【考点】时间复杂度分析
【解析】 外层 a 最多执行 n 次,内层 b 在每个 a 下最多也是 O(n) 次,所以两层循环总次数是 O(n^2)。 sqrt、比较和加法都可视为 O(1),不会再提高数量级。
【易错点】 看到三元组 a,b,c 不代表就是 O(n^3),这里 c 并没有再单独枚举。
第 15 题(单选题)
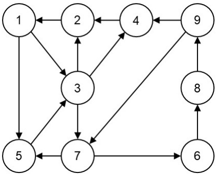
下列选项中,哪个可能是下图的深度优先遍历序列()。

正确答案C
解析详情
【答案】C
【考点】图的深度优先遍历
【解析】 若从 1 出发,并按图中某种合法邻接顺序做 DFS,可得到 1→3→4→2,回溯后再访问 7→6→8→9,最后到 5。 于是序列 1,3,4,2,7,6,8,9,5 是可能出现的深度优先遍历序列,所以选 C。
【易错点】 DFS 序列与邻接点访问顺序有关,题目问“可能是”时只需验证存在一种合法顺序。
判断题(每题 2 分)
第 1 题(判断题)
C++语言中,表达式 6 & 5 的结果类型为 int、值为 1。
正确答案错误
解析详情
【答案】错误
【考点】按位与运算结果
【解析】 6 的二进制是 110,5 的二进制是 101,110 & 101 = 100,所以结果值是 4,不是 1。 表达式结果类型仍为 int,但数值判断错了,因此本题错误。
【易错点】 按位与要逐位计算,别把它误算成逻辑与。
第 2 题(判断题)
冒泡排序是稳定的排序算法。
正确答案正确
解析详情
【答案】正确
【考点】排序稳定性
【解析】 冒泡排序只会交换逆序的相邻元素,相等元素的前后次序不会被改变。 因此它属于稳定排序算法。
【易错点】 “会交换元素”不代表“不稳定”,关键看相等元素的相对顺序是否保持。
第 3 题(判断题)
唯一分解定理(算术基本定理)指出,每个大于1的自然数都可以唯一地分解成若干个素数的乘积。因此,我们可以很容易的对给定的自然数 n 进行质因数分解,时间复杂度仅为。
正确答案错误
解析详情
【答案】错误
【考点】质因数分解复杂度
【解析】 算术基本定理保证分解结果唯一,但不等于分解过程就能在 O(log n) 内完成。 常见试除法要枚举到 sqrt(n) 量级,远大于 O(log n)。
【易错点】 定理说明“能唯一分解”,不说明“能非常快地分解”。
第 4 题(判断题)
C++ 语言中,可以为同一个类定义多个构造函数。
正确答案正确
解析详情
【答案】正确
【考点】构造函数重载
【解析】 C++ 允许同一个类定义多个构造函数,只要它们的参数列表不同即可。 这正是构造函数重载。
【易错点】 不能有两个参数列表完全相同的构造函数,但不同参数形式可以并存。
第 5 题(判断题)
使用 math.h 或 cmath 头文件中的对数函数,表达式的结果类型为 double、值约为 7.0。
正确答案错误
解析详情
【答案】错误
【考点】对数函数含义
【解析】 cmath 中的 log 表示自然对数 ln,log(128)≈4.852,而不是 7.0。 7 对应的是 log2(128),不是默认的 log。
【易错点】 要区分 log、log10 和 log2,默认 log 不是以 2 为底。
第 6 题(判断题)
一颗 N 层的二叉树,至少有个节点。
正确答案错误
解析详情
【答案】错误
【考点】二叉树结点数范围
【解析】 一棵 N 层二叉树要想达到 N 层,最少只需每层放 1 个结点,所以最少结点数是 N。 2^(N-1) 是第 N 层最多可能有的结点数,不是整棵树的最少结点数。
【易错点】 “第 N 层最多结点数”和“整棵树最少结点数”不是同一个量。
第 7 题(判断题)
非连通图不能使用广度优先搜索算法进行遍历。
正确答案错误
解析详情
【答案】错误
【考点】非连通图遍历
【解析】 非连通图可以先从一个连通分量做 BFS,完成后再从未访问顶点重新开始。 把各分量都扫完后,整张图仍然可以完成遍历。
【易错点】 一次 BFS 不能覆盖非连通图,不等于 BFS 方法本身不能用于遍历非连通图。
第 8 题(判断题)
现使用有 N 个表项的哈希表,从 M 个元素中进行查找。该哈希表为解决哈希函数冲突,为每个表项处建立单链表存储冲突元素。其查找操作的最坏情况时间复杂度为。
正确答案正确
解析详情
【答案】正确
【考点】哈希表拉链法复杂度
【解析】 最坏情况下,M 个元素都冲到同一个表项的链表里,查找就要顺着长度为 M 的链逐个比较。 因此最坏时间复杂度是 O(M)。
【易错点】 哈希查找平均很快,但最坏情况仍可能退化成线性查找。
第 9 题(判断题)
动态规划有递推实现和递归实现,对于很多问题,通过记录子问题的解,两种实现的时间复杂度是相同的。
正确答案正确
解析详情
【答案】正确
【考点】动态规划实现方式
【解析】 记忆化递归和递推表格法如果都把每个子问题只求一次,那么访问的状态数相同,时间复杂度通常一致。 二者主要差别在实现形式和常数开销。
【易错点】 不要把“递归”直接等同于“更慢”,关键在于是否重复计算子问题。
第 10 题(判断题)
泛洪算法的递归方法容易造成溢出,因此大的二维地图算法中,一般不用递归方法。
正确答案正确
解析详情
【答案】正确
【考点】泛洪算法与递归栈
【解析】 递归版泛洪在大地图上可能递归层数过深,导致调用栈溢出。 因此实际处理大规模二维地图时,常改用显式队列或栈的非递归写法。
【易错点】 递归写法简洁,但数据规模一大,栈空间往往先成为瓶颈。